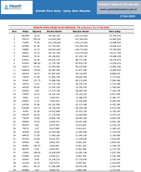
Günlük para giriş ve çıkışları:
-Hissede para girişi ve yükseliş olumlu,
-Hissede para çıkışı ve düşüş olumsuz,
-Hissede yükseliş ve para çıkışı birebir anda oluyorsa, direnç noktalarından gelebilecek muhtemel satışlara dikkat edilmesi gerektiği,
-Hissede düşüş varken, para girişi olduğunda ise takviyeye yakın ve olumlu formda bedellendirilmektedir.


Kaynak Piramit Menkul
Hibya Haber Ajansı
